您現在的位置:中國農業儀器網 > 技術文章 > 粗纖維測定方法的改進
粗纖維測定方法的改進
來源: 本站 類別:技術文章 更新時間:2010-07-05 閱讀次
粗纖維測定方法的改進
纖維是指食用植物細胞壁中的碳水化合物和其他物質的復合物。纖維雖然不能被人體消化吸收, 營養價值很低, 但它能吸收和保留水份, 使糞便體積增大, 可促進腸道蠕動, 對血漿中膽固醇有阻止形成和降低作用, 因此, 纖維素有可以預防結腸癌、闌尾炎和心臟病等多種疾病的作用, 是人類食物中不可缺少的重要組成部分。因此, 食物中纖維素的測定就顯得十分重要。下面就談一談用1.25g/100ml 酸堿劑洗滌法測定纖維素的具體方法。
1 測定原理
樣品分別經1.25g/100ml 硫酸和1.25g/100ml 氫氧化鈉溶液在沸騰條件下加熱30min以將淀粉、果膠、蛋白質、脂肪、部分半纖維素和木質素水解除去, 最后將得到的殘渣稱量, 減去灰分質量, 即得到粗纖維的含量。
2 儀器用具
a.分析天平: 感量0.0001g;
b.實驗用粉碎機;
c.電熱板;
d.馬福爐;
e.電熱鼓風干燥箱;
f.尼龍篩絹JP72×1( 200 目) ;
g.高腳燒杯: 容積600ml;
h.古氏坩堝: 容積25ml;
i.帶活門抽氣管;
j.抽濾瓶: 容積500ml;
k.干燥劑。
3 試劑
a. 95。乙醇;
b.乙醚;
c.石蕊試紙;
d.酸洗石棉;
e. 1.25g/100ml 硫酸;
f. 1.25g/100ml 氫氧化鈉。
4 操作方法
4.1 稱取試樣: 稱取粉碎式樣2~3g, 準確至0.0001g, 倒入500ml 燒杯中。如果試樣的脂肪含量較高時, 可用提脂肪后的殘渣作試樣, 或者將試樣的脂肪用乙醚抽提除去。
4.2 酸液處理: 向裝有試樣的燒杯中加入
事先在回流裝置下煮沸的1.25g/100ml 的硫酸200ml, 并記下燒杯中液面的高度。蓋上表面皿置于電爐上, 在1min 內煮沸, 再繼續慢慢煮沸30min。在煮沸過程中, 要加沸水保持液面高度,經常轉動燒杯, 到時離開熱源, 待沉淀下沉后,用玻璃棉抽濾管吸去上層清液, 吸凈后立即加入100~150ml 沸水洗滌沉淀, 再吸上層清液, 用沸水反復洗滌沉淀, 直至用石蕊試紙試驗呈中性為止。
4.3 堿液處理: 將抽濾管中玻璃棉并入沉淀中, 加入事先在回流裝置下煮沸的準備好的1.25g/100ml 氫氧化鈉溶液200ml, 按照酸液處理方法加熱微沸30min, 取下燒杯, 使沉淀下沉后, 趁熱用處理到恒重的古氏坩堝抽濾, 用沸水將沉淀無損失地轉入坩堝中, 洗至中性。
4.4 乙醇和乙醚處理: 沉淀先用熱至50~60℃的乙醇20~25ml 分3~4 次洗滌, 然后用乙醚20~25ml 分3~4 次洗滌, 最后抽凈乙醚。
4.5 烘干與灼燒古氏坩堝和沉淀, 先在
105℃下烘至恒重, 然后送入600℃高溫爐中灼燒30min, 取出冷卻稱重, 再灼燒20min 至恒重為止。
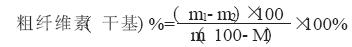
4.6 結果計算
式中:

m: 試驗質量( g)
m1: 坩堝與沉淀烘干后總質量( g )
m2: 坩堝與沉淀灼燒后總質量( g)
M: 水分( 。)
以上實驗結果允許誤差不超過平均值的1。。
5 國標法的缺點
5.1 電熱板加熱, 溫度不好控制, 溫度低不能達到1min 內沸騰, 溫度過高易產生大量泡沫, 溢出杯外造成試樣損失, 實驗失敗。
5.2 酸堿液處理時, 燒杯要蓋上表面皿, 冷凝效果不好, 燒杯內液面高度經常發生變化, 需要隨時補充沸水, 此過程麻煩費時又影響測定結果。
5.3 酸堿液處理結束時, 都要用抽濾管吸去清液, 然后再用沸水洗至中性, 此過程用玻璃棉抽濾管吸去清液耗費時間太長, 試樣易損失。
6 改進后的方法
6.1 把電熱板加熱改為糊化控制器加熱,此設備有定溫定時裝置, 既能保證1min 內沸騰, 又能控制恒溫, 還有定時報警, 到30min 時自動鳴警提醒, 不用專人控制, 既能保證加熱溫度, 又能很好控制時間。
6.2 燒杯上蓋表面皿, 改為上蓋冷凝球, 由冷水循環冷卻, 能保證燒杯內酸堿濃度的準確。
6.3 把玻璃棉抽濾改為用200 目尼龍篩絹過濾, 此方法省時省力省能耗, 且操作簡便易行。
7 結果對照
7.1 選取同一樣品: 含水份為12.5。的小麥粉
7.2 用國標法和改進后的方法作試驗, 結果如下:

8 結論
由上述兩種方法測定數據可知, 改進后的方法既能省時, 又能省力, 還可以節約能源, 而且測定的結果比國標法誤差更小, 更接近真實值。
- 【中國農業儀器網】聲明部分文章轉載自其它媒體,轉載目的在于傳遞更多信息,并不代表本網贊同其觀點和對其真實性負責,且不承擔此類作品侵權行為的直接責任及連帶責任。如涉及作品內容、版權和其它問題,請在30日內與本網聯系。
- 上一篇:養豬生產中墊草的作用
- 下一篇:粗纖維在家兔營養中的作用

推薦儀器

最近更新儀器

相關技術文章