您現在的位置:中國農業儀器網 > 技術文章 > 索氏煮沸抽提法快速測定糧食、油料中粗脂肪含量的試驗
索氏煮沸抽提法快速測定糧食、油料中粗脂肪含量的試驗
來源: 本站 類別:技術文章 更新時間:2010-07-02 閱讀次
索氏煮沸抽提法快速測定糧食、油料中粗脂肪含量的試驗
中華人民共和國國家標準中規定: 糧食、油料中的粗脂肪含量測定采用索氏抽提法。此方法經過長期操作實踐, 存在一定的弊端, 主要是操作時間長、試驗人員勞動強度大、水和電等能源消耗多。索氏抽提法測定一個樣品僅抽提時間就需要8h 以上, 整個試驗自始至終需要12h左右, 工作效率極低。為解決這些問題, 我們進行了長時間的探索和多次測試, 測定結果證明, 用索氏煮沸抽提法測定糧食、油料中的粗脂肪含量, 結果非常理想, 與標準方法———索氏抽提法的測定結果十分接近, 此方法值得推廣。
1 索氏煮沸抽提法測定原理
索氏煮沸抽提法是在索氏抽提法的基礎上根據乙醚加熱后能加快脂肪溶解的原理, 將干燥后的試樣在煮沸的乙醚溶劑中快速萃取, 再經過索氏抽提器近2h 的抽提, 使粗脂肪全部提取出來, 回收乙醚后將抽提底瓶烘至恒重,計算測得的粗脂肪含量。
2 儀器與試劑
2.1 儀器
分析天平: 感量0.000 1g ; 電熱恒溫箱; 電熱恒溫水浴鍋; 粉碎機; 研缽; 備有變色硅膠的干燥器; 濾紙筒;索氏抽提器一套(各部件必須洗凈, 用105 ℃溫度烘干,其中抽提瓶烘至恒重) ; 廣口瓶; 脫脂線; 脫脂棉; 脫脂細砂;粗脂肪測定儀(SZF-06A、SZF-06B兩種型號皆可)。
2.2 試劑
無水乙醚(A1R) 。
3 樣品制備
①禾谷類糧食和豆類(花生除外) 分取除去雜質的凈試樣30~50g , 磨碎后通過直徑110mm 圓孔篩裝入廣口瓶內備用。
②小粒油料如芝麻、油菜籽、亞麻籽等分取除去雜質的凈試樣20g , 裝入廣口瓶內備用。
③大粒油料如花生果、蓖麻籽、葵花籽、茶籽等分取30~50g 樣品, 除雜后, 逐粒剝殼, 仁、殼分別稱重, 計算出仁總量百分率, 然后將仁剪碎或切片, 裝入廣口瓶內備用。
4 操作方法
4.1 試樣包扎
從備用的樣品中, 用潔凈的已知恒重的烘盒精確稱取試樣2 ~ 5g , 按規定測定水分后再在105 ℃溫度下烘30min , 趁熱倒入研缽中, 加入約2g 無水脫脂細砂一同研磨。將試樣和細砂研磨到出油狀后, 干凈地轉入濾紙筒內(筒底塞一層脫脂棉, 并在105 ℃溫度下烘30min) , 用脫脂棉蘸少量乙醚揩凈研缽上的試樣和脂肪, 并入濾紙筒內, 再用脫脂棉塞入上部, 壓住試樣, 最后用脫脂線扎住, 濾紙筒不得超過虹吸管的高度, 直徑要小于抽提筒的直徑, 包扎的試樣不得過緊。
4.2 抽提與烘干
將索氏抽提器安裝妥當, 然后將包有試樣的濾紙筒放入已知恒重的抽提瓶內, 并加入無水乙醚至濾紙筒全部浸沒為止(或不得超過瓶體積的一半) , 同時連接好抽提筒與冷凝管, 接通冷凝水, 用水浴鍋加熱煮沸30min 后提起剛回流后的抽提筒, 用鑷子把濾紙筒從抽提瓶中提起直到不滴乙醚時取出, 小心地將濾紙筒放入抽提筒內(注意濾紙筒不要接觸瓶口、液滴不要滴在外面) , 再用少量乙醚沖洗瓶子和鑷子, 并入抽提瓶內, 連接好抽提器,繼續抽提1~2h , 直至抽提筒內的乙醚用玻璃片檢查無油跡為止。取出濾紙筒, 回收乙醚,取下冷凝管和抽提筒, 加熱除盡抽提瓶中的殘余乙醚, 用脫脂棉蘸乙醚揩凈抽提瓶外部, 然后將抽提瓶在105 ℃溫度下先烘90min , 再烘20min , 烘至恒重為止(前后兩次質量差在01000 2g 以內即視為恒重) , 抽提瓶增加的質量即為粗脂肪的質量。
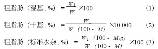
5 結果計算
粗脂肪濕基含量、干基含量和標準水雜含量分別按公式(1) 、(2) 和(3) 計算:

式中, W1 為粗脂肪質量, g ; W 為試樣質量, g ; M為試樣水分百分率, %; M標為試樣標準水分、標準雜質之和, %。雙試驗結果允許差: 糧食、油料不超過014 % , 大豆不超過012 % , 求其平均數, 即為測定結果。測定結果取小數點后第一位。
6 試驗結果與該方法的優點
6.1 試驗結果
對每種樣品分別用兩種方法進行測定其粗脂肪含量,一種方法是索氏煮沸抽提法(本試驗研究的方法) , 另一種方法是索氏抽提法(國家標準方法) , 其兩種方法測定結果見表1 。

6.2 索氏煮沸抽提法的優點
索氏煮沸抽提法與索氏抽提法比較, 測定一個樣品可節省6 ~ 8h 時間, 可節省電能10kW·h 左右, 可節省500kg 的水; 索氏煮沸抽提法在試樣磨碎(或切片) 后,直接測定試樣水分, 避免了在煮沸和抽提過程中, 由于水分的干擾使抽提后的脂肪產生混濁現象; 索氏煮沸抽提法可一次性測得水分和粗脂肪的含量。
7 結論
從測定結果可以看出, 索氏煮沸抽提法與索氏抽提法相比較, 測定一個樣品可省時、省水、省電; 試驗結果準確可靠, 試驗誤差均在要求范圍內, 與標準方法相差無幾, 完全符合標準要求; 索氏煮沸抽提法在對包有試樣的濾紙筒進行煮沸萃取時效果特好, 粗脂肪明顯地被萃取到乙醚溶劑中, 值得推廣。
- 【中國農業儀器網】聲明部分文章轉載自其它媒體,轉載目的在于傳遞更多信息,并不代表本網贊同其觀點和對其真實性負責,且不承擔此類作品侵權行為的直接責任及連帶責任。如涉及作品內容、版權和其它問題,請在30日內與本網聯系。

推薦儀器

最近更新儀器

相關技術文章