您現在的位置:中國農業儀器網 > 技術文章 > 甘蔗中粗纖維含量的測定
甘蔗中粗纖維含量的測定
來源: 本站 類別:技術文章 更新時間:2010-06-23 閱讀次
甘蔗中粗纖維含量的測定
大家都知道,甘蔗是制造蔗糖的原料。它屬于甘蔗屬,是溫帶和熱帶的農作物。全球最大的甘蔗生產國位于南美洲的巴西,其次就是印度和中國。一般甘蔗需種在土壤肥沃、陽光充足、冬夏溫差大的地區,這些地方種出來的甘蔗含有更高的糖分。同時,甘蔗還含有多種維生素、脂肪、蛋白質、有機酸、鈣、鐵等物質,是一種營養植物較為豐富的水果。
本文主要介紹如何測定甘蔗中的粗纖維。當然,如果你想測定甘蔗中的脂肪含量,我們也可以借助儀器--粗脂肪測定儀來測量。只是本文重點在于粗纖維的測定,所以對于甘蔗中脂肪含量的測定,我們不做展開討論。
甘蔗中的粗纖維,包括纖維素、半纖維素、木質素及角質等成分,比較復雜。那么如果我們借助儀器來測定時,我們可以選擇粗纖維測定儀、CXC-06纖維測定儀,而如果我們想要實驗室方法,那么下面的一些介紹,將提供給你比較實用的方法。
首先,甘蔗是屬于不易搗碎的樣品,那么按GB 8858測定出水分含量(B1)。同時將樣品置80℃烘箱烘干后用粉碎機粉碎,全部通過0.84mm的篩子。收集后裝入廣口瓶中備用。
其次準確稱取制備的樣品約3g,置500ml錐形瓶中。同時稱樣按GB 8858測定出水分含量(B2)。
稱樣后,若水分含量高,可置80℃烘箱中蒸發掉大部分水分。若脂肪含量超過1%者,可用乙醚多次浸泡、洗滌試樣,然后傾析去掉溶劑,不能損失殘渣,最后風干多余的溶劑。下一步進行酸處理:(1)加入95~100℃的硫酸溶液200ml(室溫時量。H绻鹋葺^多可預先加幾滴消泡劑。裝上冷凝管,立即在電熱板上加熱至微沸(約2min),微沸30士1min。微沸過程中需搖動幾次錐形瓶,防止試樣沾在液面之上。(2)連接號抽濾裝置,迅速抽濾分離。并且用95~100℃的熱水洗滌殘渣至濾液呈中性(藍色石蕊試紙不變色)。再接著進行堿處理:(1)將留有殘渣的亞麻布貼在短頸漏斗的內壁上,不要堵塞下水口。用95~100℃的氫氧化鈉溶液200ml(室溫時量。⿲堅鼪_洗入原錐形瓶中。裝上冷凝管,立即在電熱板上加熱至微沸(約2min),微沸30士1min。(2)連接好抽濾裝置(鋪有石棉的古氏坩堝),迅速抽濾分離。用硫酸溶液20ml(室溫)洗滌殘渣,再用95~100℃的熱水充分洗滌后抽干,然后依次用乙醇和乙醚洗滌一次(脫脂樣品不用乙醚再洗),抽干。
然后是干燥以及灰化過程。干燥:將盛有殘渣的古氏坩堝置130士2℃的烘箱中干燥2h后取出,置干燥器中冷卻至室溫后稱重(A1);一簩⑹⒂袣堅墓攀羡釄逯550士25℃的馬弗爐中灰化2h,待溫度降至200℃以下時取出置干燥器中冷卻至室溫后稱重。再將古氏坩堝置馬弗爐中灰化1h。重復操作直至2次稱量差不超過0.5mg(A2)。
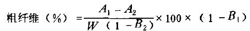
最后一步是計算。

式中:A1—古氏坩堝+粗纖維+殘渣中灰分,g;
A2—古氏坩堝+殘渣中灰分,g;
W —試樣的質量,g。
B1—按第6.2條測定的水分含量;
B2—按第7.1.2條測定的水分含量。
取兩次測定的算術平均值作為測定結果。測定結果低于10%時,2次測定結果之差的絕對值不得超過0.4;測定結果大于10%時,2次結果結果之差的相對值不得超過4%。
- 【中國農業儀器網】聲明部分文章轉載自其它媒體,轉載目的在于傳遞更多信息,并不代表本網贊同其觀點和對其真實性負責,且不承擔此類作品侵權行為的直接責任及連帶責任。如涉及作品內容、版權和其它問題,請在30日內與本網聯系。
- 上一篇:GB/T 15674一1995 ..
- 下一篇:粗纖維含量的測定原理介紹

推薦儀器

最近更新儀器

相關技術文章