葉綠素a的測定
葉綠素廣泛存在于果蔬等高等綠色植物中,與蛋白質結合成葉綠體。高等植物中葉綠素有兩種:葉綠素a和葉綠素b。這兩種葉綠素都溶于乙醇、乙醚、丙酮等有機物。葉綠素是綠色植物進行光合作用的必需因子,在光合作用中起到吸收和傳遞光能的作用。其中葉綠素a的分子式為C40H70O5N4Mg,葉綠素a的分子結構由4個吡咯環通過4個甲烯基(=CH—)連接形成環狀結構,稱為卟啉(環上有側鏈)。卟啉環中央結合著1個鎂原子,并有一環戊酮(Ⅴ),在環Ⅳ上的丙酸被葉綠醇(C20H39OH)酯化、皂化后形成鉀鹽具水溶性。在酸性環境中,卟啉環中的鎂可被H取代,稱為去鎂葉綠素,呈褐色,當用銅或鋅取代H,其顏色又變為綠色,此種色素穩定,在光下不退色,也不為酸所破壞,浸制植物標本的保存,就是利用此特性。
利用分光光度計進行葉綠素a的測定,是最普通的測量葉綠素a的方法。利用分光光度計,首先測定葉綠素提取液在最大吸收波長下的吸光值,葉綠素a在645nm和665nm處有最大的吸光值。然后利用朗伯—比爾定律計算出提取液中各色素的含量。朗伯—比爾定律的數學表達式為A=lg(1/T)=Kbc ,其中A為吸光度;T為透射比,是投射光強度比上入射光強度;c為吸光物質的濃度;b為吸收層厚度。
葉綠素a的測定過程
首先介紹下我們在測定過程中要用到的儀器:分光光度計、天平、研缽、棕色容量瓶、小漏斗、定量濾紙、吸水紙、擦境紙、滴管;準備幾片新鮮的植物葉片;準備96%的乙醇(或80%丙酮)、石英砂和碳酸鈣粉。
然后具體操作如下:取新鮮植物葉片(或其它綠色組織)或干材料,擦凈組織表面污物,去除中脈剪碎。稱取剪碎的新鮮樣品
然后根據資料上提供的葉綠素a的計算方法,就可算出新鮮的植物葉片葉綠素a的含量。具體公式如下:
葉綠素a=(
葉綠素b=(
總葉綠素a=(
圖 分光光度計
另一種葉綠素a的測定方法—熒光光度法
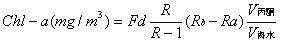
近年來,海水葉綠素a含量測定的分光光度法已逐漸被較簡便且靈敏度高的萃取熒光法代替。其原理是葉綠素a的丙酮萃取液受藍光激發后產生紅色熒光,用熒光計在波長670nm測定提取液酸化前后的熒光值,按下式計算海水葉綠素a的含量:
(1)
式中,Rb—酸化前熒光值;Ra—酸化后熒光值;R—純葉綠素a的酸化因子(隨儀器而異)。因
(2)
式中, Fd—測定時熒光計所用量程的換算因子(mg/m3),其值的確定有幾種方法,具體介紹如下:
⑴標準葉綠素a校正法:用純葉綠素a配成母液,把母液稀釋成一系列不同濃度的溶液并分別測定熒光讀數,最后用直線回歸法算出標定線的斜率,即Fd。
⑵分光光度計校正法:取一定體積處于指數生長期的單細胞藻類,按分光光度法測定葉綠素a的方法,測其吸光值E,按公式chl-a = 11.85E664-1.54 E647-0.08 E630 =Cchl-a計算該提取液的Cchl-a。然后將它在熒光計上測定熒光值Rb,按(3)式求得Fd。本實驗采用分光光度計校正法。
(3)
- 【中國農業儀器網】聲明部分文章轉載自其它媒體,轉載目的在于傳遞更多信息,并不代表本網贊同其觀點和對其真實性負責,且不承擔此類作品侵權行為的直接責任及連帶責任。如涉及作品內容、版權和其它問題,請在30日內與本網聯系。

